Instrucciones
Procedimiento selectivo. Instrucciones
Consultas: oposiciones@educastur.org
PROCEDIMIENTO SELECTIVO 2020
INSTRUCCIONES
Para facilitar la búsqueda de documentos:
- El nombre de cada documento comienza con el código del cuerpo y el código y nombre de la especialidad.
- Buscar por palabras clave del título o del contenido del documento.
- Filtrar y ordenar por varios criterios, de forma ascendente o descendente.
- Clic sobre el documento: se abre en el navegador y puede descargarse e imprimirse.
Atrás
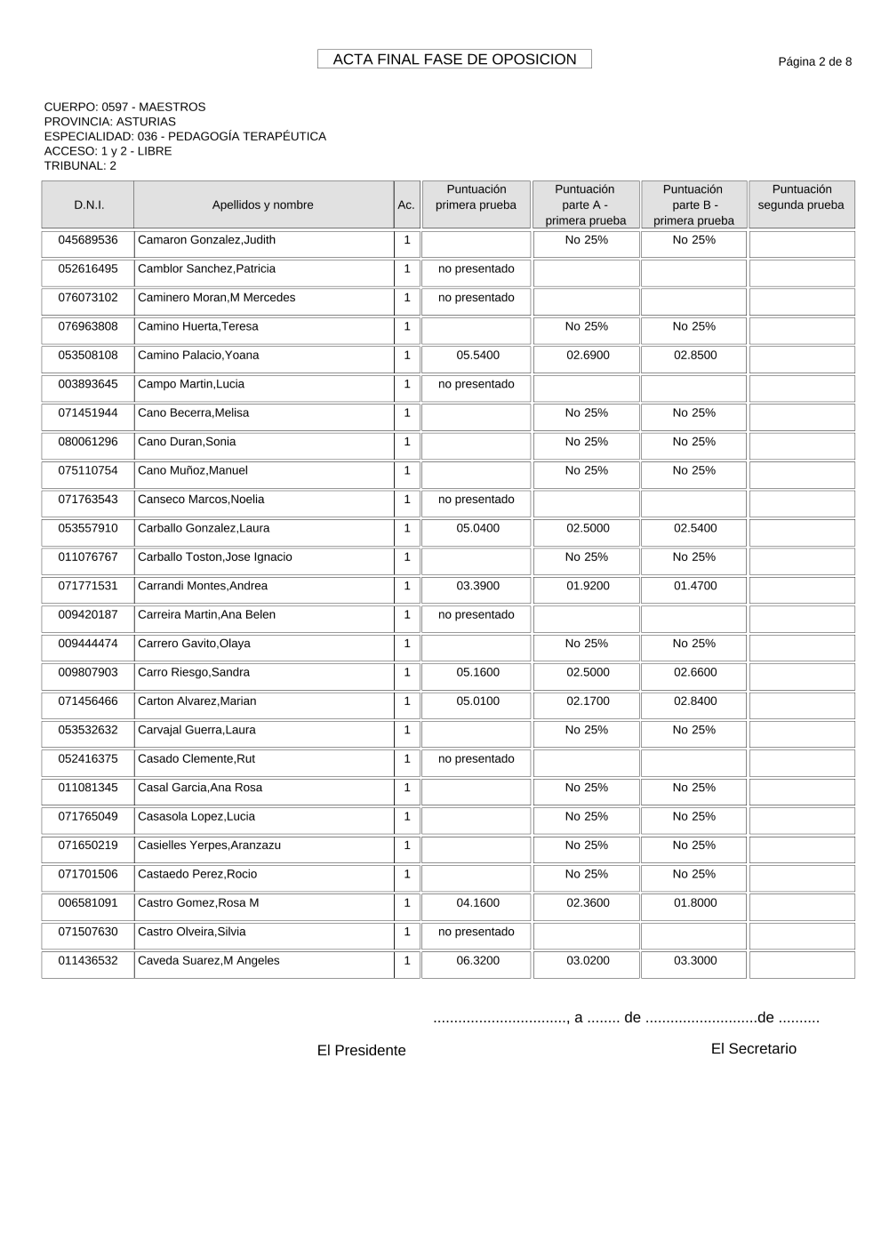
2015-07 Acta Calificaciones primera prueba T02 0597036.pdf
2015-07 Acta Calificaciones primera prueba T02 0597036.pdf
Versión 1.0 Aprobado
Propietario
- Tipo del documento
- Documento básico
- Extensión
- Tamaño
- 30 KB
- Modificado
- 23/5/21 20:56 por CGSI CGSI
- Creado
- 23/5/21 20:56 por CGSI CGSI
- Localización
- D-OPOS-2015
application/pdf; version=1.4
2015-07-15T10:28:26Z
JOSELUHM
2015-07-15T10:28:26Z
omactas
application/pdf
2015-07-15T10:28:26Z
JOSELUHM
2015-07-15T10:28:26Z
2015-07-15T10:28:26Z
-
Versión 1.0Por CGSI CGSI, en 23/5/21 20:56Registro sin cambios

