Instrucciones
Procedimiento selectivo. Instrucciones
Consultas: oposiciones@educastur.org
PROCEDIMIENTO SELECTIVO 2020
INSTRUCCIONES
Para facilitar la búsqueda de documentos:
- El nombre de cada documento comienza con el código del cuerpo y el código y nombre de la especialidad.
- Buscar por palabras clave del título o del contenido del documento.
- Filtrar y ordenar por varios criterios, de forma ascendente o descendente.
- Clic sobre el documento: se abre en el navegador y puede descargarse e imprimirse.
Atrás
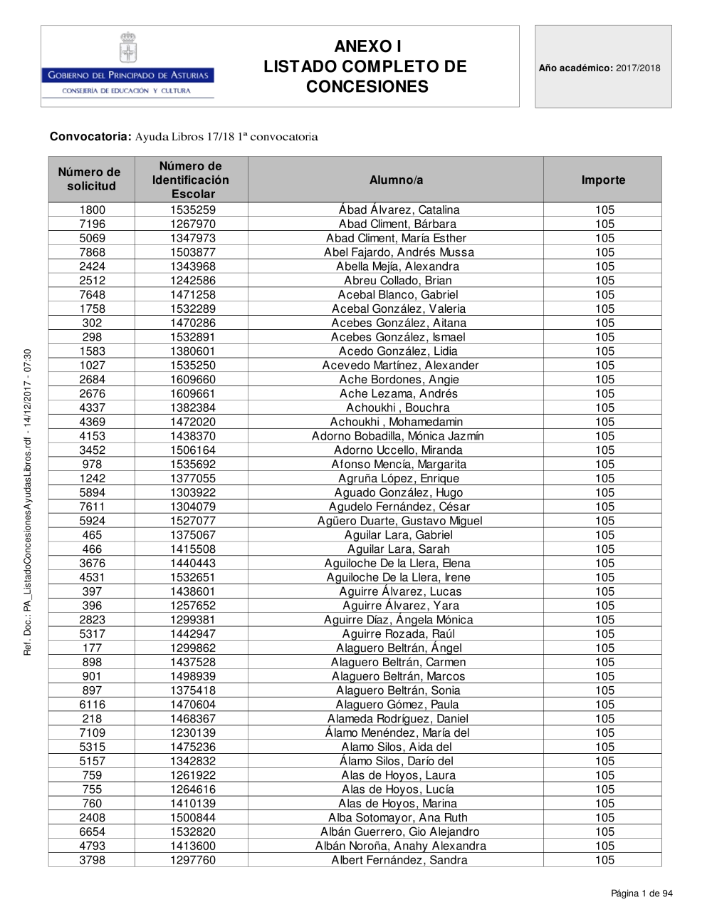
2017_12_Listado_resolucion_concesiones_ayudas_libros_concertados.pdf
2017_12_Listado_resolucion_concesiones_ayudas_libros_concertados.pdf
Versión 1.0 Aprobado
Propietario
- Tipo del documento
- Documento básico
- Extensión
- Tamaño
- 371 KB
- Modificado
- 15/11/21 17:42 por BEATRIZ PEREZ GARCIA
- Creado
- 23/5/21 20:54 por CGSI CGSI
- Localización
- Anteriores 2021
application/pdf; version=1.4
2017-12-15T07:50:52Z
Oracle Reports
2017-12-14T07:30:10Z
application/pdf
2017-12-15T07:50:52Z
Oracle Reports
2017-12-14T07:30:10Z
2017-12-15T07:50:52Z
-
Versión 1.0Por CGSI CGSI, en 23/5/21 20:54Registro sin cambios

